½âÎöPD1ÄÍÒ©Ä£Ð͵ÄÃØÃÜ£¬ÖúÁ¦ÐÂÒ©Ñз¢
°ÐÏòPD-1/PD-L1µÄÃâÒßÁÆ·¨ÒòÆä¹ãÆ×ÐÔ¡¢³Ö¾ÃÐԺ͵Ͷ¾ÐÔ£¬×ÔÎÊÊÀÒÔÀ´±ãÔÚ¶àÖÖ°©Ö¢ÖÎÁÆÖÐÈ¡µÃÁËÖØÒªÍ»ÆÆ¡£È»¶ø£¬ÔÚÐí¶à°©Ö¢µÄÖÎÁÆÖУ¬ÆäÓÐЧÂʲ»×ã30%£¬Ðí¶à»¼Õß½öÌåÏÖ³ö²¿ÃÅÓ¦´ð£¬²»½öÉú³¤³öÄÍÒ©ÐÔ£¬»¹»á·ºÆðºÍÃâÒßÏà¹ØµÄ²»Á¼·´Ó³£¬±³ºó»úÖÆÅÓ´óÇÒ¶àÑù¡£ogÊÓѶ¹ÙÍø×¢²áƽ̨»ùÓÚÄÍÒ©»úÖÆ¿ª·¢µÄ¶àÖÖ·ÇÁÙ´²anti-PD1ÄÍÒ©Ä£Ðͼ°ÆÀ¼ÛÌåϵ£¬Îª½ÒʾÄÍÒ©»úÖÆ¡¢ÓÅ»¯ÖÎÁÆ·½°¸¼°¿ª·¢ÐÂÁÆ·¨ÌṩÁËÖØÒª¹¤¾ß¡£
Ŀǰ³£¼û»ùÓÚanti-PD-1ÄÍÒ©Ä£Ð͵ķÇÁÙ´²ÆÀ¼ÛÕ½ÂÔ£¬Ö÷Òª°üÂÞ»ùÓÚÒ©ÎïÓÕµ¼µÄ»ñµÃÐÔÄÍÒ©Ä£ÐÍ¡¢Í¨¹ý»ùÒò±à¼¼¼Êõ¹¹½¨µÄ°ÐÏòÒªº¦»ùÒòµÄÄÍÒ©Ä£ÐͺÍÔ·¢ÄÍÒ©Ä£ÐÍµÄÆÀ¼ÛÌåϵ¡£ÕâÈýÖÖÊÔÑéÌåϵ»ùÓÚ²îÒìµÄÄÍÒ©»úÖÆµÄÌØµã¹¹½¨¡£ogÊÓѶ¹ÙÍø×¢²áƽ̨½¨Ò鯾¾ÝÒ©ÎïµÄ×÷ÓÃÌØµãºÍÁÙ´²ÄâÑ¡ÔñÖÎÁÆÈºÌ壬ƥÅäºÏÊʵÄÊÔÑéÌåϵ¡£
»ñµÃÐÔPD1ÄÍÒ©Ä£ÐÍ£º»¹ÔÖÎÁÆÖÐÄÍÒ©ÑݱäÀú³Ì
»ñµÃÐÔÄÍÒ©ÊÇÖ¸ÔÚÖ×ÁöÖÎÁÆÀú³ÌÖУ¬Ö×Áöϸ°ûͨ¹ýһϵÁÐÒÅ´«ºÍ·ÇÒÅ´«»úÖÆÖð½¥Éú³¤³ö¶ÔÌØ¶¨Ò©ÎïµÄÄÍÒ©ÐÔ£¬Í¨³£Éæ¼°Ö×Áöϸ°ûÔÚÒ©ÎïѹÁ¦Ï·¢ÉúµÄ»ùÒòÍ»±ä¡¢±í¹ÛÒÅ´«¸Ä±ä¡¢ÐźÅÍ¨Â·ÖØ±à³ÌµÈÀú³Ì¡£ÕâÀàÄ£ÐÍÒ»¶¨Ë®Æ½ÉÏÄ£ÄâÁË»¼ÕßÖÎÁÆÀú³ÌÖÐÖð½¥·¢ÉúÄÍÒ©ÐÔµÄÀú³Ì¡£
ogÊÓѶ¹ÙÍø×¢²áƽ̨ͨ¹ý¶ÔPD-1ÈËÔ´»¯ºÉÁöÊó²»Í£¸øÓèKeytrudaÓÕµ¼£¬Àֳɽ¨ÉèÁËCT26-PD1-RÄÍÒ©Ä£ÐÍ£¬¸ÃÄ£ÐͶÔKeytrudaʧȥÏìÓ¦£¨Í¼1£©¡£TILs·ÖÎöÏÔʾ£¬ÓëCT26-WTÏà±È£¬CD335+£¨NKϸ°û£©ºÍMHCII+£¨¿¹ÔµÝ³Êϸ°û£©ÈºÌåÔÚÄÍҩϸ°ûÖÐÏÔÖøÌÔÌ£¨Í¼2£©£¬ÌáʾCT26-PD1-RÄ£ÐÍÖ×Áö΢Çé¿öÃâÒß¹¦Ð§µÄÕûÌåÒÖÖÆ¡£½øÒ»²½¶ÔCT26-PD1-RºÍCT26-WTϸ°û½øÐÐÁËÉúÎïÐÅϢѧ·ÖÎö£¬ÒÔÆÚÉîÈë½âÎöÄÍÒ©»úÖÆ¡£½á¹û½²Ã÷£¬ÄÍҩϸ°ûÖÐÇ÷»¯Òò×Ó£¨CCL2¡¢CCL5ºÍCCL7£©ÏÔÖøÉϵ÷£¨Í¼3£©£¬ÌáʾÄÍҩϸ°û¿ÉÄÜͨ¹ýÓÕµ¼ÃâÒßÒÖÖÆÐÔ΢Çé¿ö´Ù½øPD-1ÁÆ·¨µÄÄÍÒ©¡£

ͼ1 CT26-PD1-RÄÍÒ©Ä£ÐͶÔKeytruda²»ÏìÓ¦

ͼ2 CT26-PD1-RÄÍÒ©Ä£ÐÍNKϸ°û½þÈó½µµÍÇÒMHCII·Ö×Ó±í´ï½µµÍ

ͼ3 CT26-WTºÍCT26-PD1-Rϸ°û²îÒì»ùÒò±í´ï·ÖÎö
»ùÒò±à¼PD1ÄÍÒ©Ä£ÐÍ£º°ÐÏòÒªº¦»ùÒò½¨ÉèÄÍÒ©Ä£ÐÍ
ÔÚPD-1ÃâÒßÖÎÁÆÄÍÒ©Ñо¿ÖУ¬B2MÍ»±äµ¼ÖµÄMHCI¹¦Ð§È±Ê§ÒÔ¼°STK11Í»±äÒѱ»Ö¤ÊµÊǼÓÈëÁÙ´²»¼ÕßÄÍÒ©µÄÒªº¦ÒòËØ¡£ogÊÓѶ¹ÙÍø×¢²áƽ̨ͨ¹ý»ùÒò±à¼¼¼Êõ£¬Àֳɹ¹½¨ÁËB2M(KO)ºÍSTK11(KO)µÄÄ£ÐÍ¡£ÓÉÓÚÕâÁ½¸öÄ£ÐÍÄÍÒ©»úÖÆÇåÎú£¬ÊÊÓÃÓÚ¿ª·¢¶ÔÓ¦ÄÍÒ©»úÖÆµÄÐÂÒ©ÆÀ¼Û¡£
1. B2MÇóýÄ£ÐÍ£º
B2MÊÇMHCIÀà·Ö×ÓµÄÖØÒª×é³É²¿ÃÅ£¬Æäȱʧµ¼ÖÂÖ×Áöϸ°ûɥʧ¿¹ÔµÝ³ÊÄÜÁ¦£¬Tϸ°ûÎÞ·¨Ê¶±ð²¢É±ÉËÖ×Áö£¬×îÖÕÒý·¢ÃâÒßÌÓÒÝ¡£Í¨¹ý»ùÒò±à¼¼¼ÊõÇóýCT26ϸ°ûÖеÄB2M»ùÒò£¬¹¹½¨ÁËCT26-B2M(KO)Ä£ÐÍ¡£ÔÚÌåÄÚÑо¿ÖУ¬CT26-B2M(KO)ϸ°û¶ÔKeytrudaÌåÏÖ³öÏÔÖøÄÍÒ©£¨Í¼4£©¡£TILs·ÖÎöÏÔʾ£¬B2MÇóýºó£¬ËäÈ»Tϸ°û½þÈóˮƽδÃ÷ÏԱ仯£¬µ«MHCI·Ö×ÓÔÚÖ×ÁöÖÐÍêȫȱʧ£¨Í¼5£©£¬ÕâÖ±½Ó×è°ÁË¿¹ÔµÝ³ÊÀú³Ì£¬ÑéÖ¤ÁË¿¹ÔµÝ³ÊȱʧÊÇÒý·¢ÃâÒßÌÓÒݵÄÖØÒª»úÖÆ¡£

ͼ4 B2MÇóýµÄCT26ÄÍÒ©Ä£ÐͶÔKeytruda²»ÏìÓ¦

ͼ5 B2MÇóýºóCT26ÄÍÒ©Ä£ÐͲ»±í´ïMHCI·Ö×Ó
2.STK11ÇóýÄ£ÐÍ£º
STK11ÊÇÖØÒªµÄÖ×ÁöÒÖÖÆ»ùÒò£¬ÆäȱʧÓëÖ×Áö´úлÒì³£ºÍÃâÒßÒÖÖÆÃÜÇÐÏà¹Ø¡£Í¨¹ý»ùÒò±à¼¼¼Êõ£¬ÎÒÃÇÀÖ³ÉÇóýÁËCT26ϸ°ûÖеÄSTK11»ùÒò£¬¹¹½¨ÁËCT26-STK11(KO)Ä£ÐÍ¡£ÔÚÌåÄÚʵÑéÖУ¬¸ÃÄ£ÐͶÔKeytrudaÍêÈ«ÎÞÏìÓ¦£¨Í¼£¶£©¡£
TILs½á¹ûÏÔʾ£¬STK11Çóýºó£¬Ö×ÁöÖÐCD8+ϸ°û¶¾ÐÔTÁܰÍϸ°û½þÈ󽵵ͣ¬Í¬Ê±gMDSCÏÔÖø»ýÀÛ£¨Í¼7£©£¬ÇÒÖ×Áöϸ°ûÉÏPD-L1±í´ï½µµÍ¡£Õâ½²Ã÷STK11ȱʧģÐÍÖУ¬Ö×Áö¿¹Ô±í´ïȱʧºÍÃâÒßÒÖÖÆÐźÅÔöÇ¿ÅäÏàÖúÓ㬴ٳÉÁËÄÍÒ©µÄ·¢Éú¡£

ͼ6 STK11ÇóýµÄCT26ÄÍÒ©Ä£ÐͶÔKeytruda²»ÏìÓ¦

ͼ7 STK11ÇóýºóµÄCT26ÄÍÒ©Ä£ÐÍCD8+Tϸ°û½þÈó½µµÍÇÒPDL1±í´ï½µµÍ
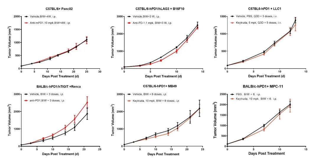
Ô·¢PD1ÄÍÒ©Ä£ÐÍ£ºÊ¶±ðÖÎÁƳõÆÚµÄÎÞÓ¦´ðȺÌå
Ô·¢ÄÍÒ©ÊÇÖ¸Ö×ÁöÔÚÖÎÁƳõÆÚ¼´ÌåÏÖΪ¶ÔÒ©ÎïµÄµÍ»òÎÞÓ¦´ð¡£Æä·¢Éúͨ³£ÓëÖÎÁÆÇ°µÄÖ×ÁöÌØ¶¨ÒÅ´«»ò»ùÒò±í´ïģʽÓйء£Í¨¹ý¶ÔÔ·¢ÄÍÒ©Ñù±¾µÄ½âÎö£¬ÓÐÖúÓÚ¿ª·¢ÐÂÒ»´úÒ©Îï¡£ogÊÓѶ¹ÙÍø×¢²áƽ̨ÏÖÓеÄPD-1Ô·¢ÄÍÒ©×ÊÔ´°üÂÞPanc02¡¢B16F10¡¢LLC1¡¢Renca¡¢MB49¡¢MPC11ºÍmPAKPCµÈ¶àÖÖÖ×Áöϸ°û×ÊÔ´£¨Í¼8-9£©¡£ÆäÖÐ×ÔÖ÷¿ª·¢µÄmPAKPCϸ°ûÊÇÀ´Ô´ÓÚKPCСÊó£¨Pdx1-cre/LSL-Kras G12D/P53 (R172H)£©×Ô·¢ÒÈÏÙÖ×Áö£¬mPAKPCÔÚÌåÄÚÌåÏÖΪ¶ÔPD-1ÖÎÁƲ»Ãô¸Ð£¨Í¼9£©¡£

ͼ8 Panc02¡¢B16F10¡¢LLC1¡¢Renca¡¢MB49ºÍMPC11ϸ°û¶ÔKeytrudaÖÎÁƲ»ÏìÓ¦

ͼ9 ÒÈÏÙ°©mPAKPC ϸ°û¶ÔKeytrudaÖÎÁƲ»ÏìÓ¦
×ÛÉÏ£¬ogÊÓѶ¹ÙÍø×¢²áƽ̨½¨ÒéÔÚanti-PD1ÄÍÒ©ºóÐÂÒ©¿ª·¢µÄ·ÇÁÙ´²ÆÀ¼ÛÖУ¬¿ÉÒÔÆ¾¾ÝÒ©Îï×÷ÓûúÖÆºÍÌØµãÑ¡ÔñÉÏÊöÁ½ÖÖ»òÒÔÉϵÄÄ£ÐÍÓÃÓÚÒ©ÀíҩЧѧ̽Ë÷¼°INDÉ걨¡£ogÊÓѶ¹ÙÍø×¢²áƽ̨»ùÓÚ¶Ôanti-PD1ÄÍÒ©Ä£ÐÍºÍÆä·ÇÁÙ´²ÆÀ¼ÛµÄÉî¿ÌÀí½â£¬½áºÏÒ©ÎïMOA£¬´î½¨ÁËÏà¹ØµÄ·ÇÁÙ´²ÆÀ¼Ûƽ̨£¬ÊÊÓÃÓÚ²îÒìÀàÐÍÒ©ÎïµÄ·ÇÁÙ´²ÆÀ¼Û³¡¾°¡£
ogÊÓѶ¹ÙÍø×¢²áƽ̨ÓÅÊÆ
ogÊÓѶ¹ÙÍø×¢²áƽ̨ƾ½è¶àÑù»¯µÄPD1ÄÍÒ©Ä£ÐÍÌåϵ£¬°üÂÞ»ñµÃÐÔ¡¢»ùÒò±à¼ºÍÔ·¢ÄÍÒ©Ä£ÐÍ£¬ÓëÁÙ´²ÄÍÒ©»úÖÆ¸ß¶ÈÒ»Ö£¬Äܹ»¾«×¼½âÎöÖ×ÁöÃâÒßÌÓÒÝ¡¢´úÐ»ÖØËܼ°Î¢Çé¿ö±ä»¯µÈ½¹µã»úÖÆ¡£Í¨¹ýÍêÉÆµÄ·ÇÁÙ´²ÆÀ¼Ûƽ̨ºÍ¶àά¶ÈÊý¾ÝÖ§³Ö£¨ÈçTILs·ÖÎö¡¢ÃâÒß΢Çé¿öÆÀ¹À¡¢»ùÒò×鼰ת¼×éÑо¿£©£¬Îªanti-PD-1ÁÆ·¨µÄÓÅ»¯¼°ÄÍÒ©»¼ÕßÐÂÒ©¿ª·¢Ìṩȫ·½Î»½â¾ö·½°¸£¬È«ÃæÖúÁ¦ÐÂÒ©Ñз¢µÄÿһ¸öÒªº¦»·½Ú¡£
