·Î°©Ñо¿»Æ½ð´îµµ¡ª¡ª×Ô·¢Ö×ÁöСÊóºÍ·Î°©ÒÆÖ²ÁöСÊóÈçºÎÑ¡Ôñ£¿ÄÄ¿î¸üºÏÊÊ£¿
ÔÚ2025ÄêÃÀ¹ú°©Ö¢Ñо¿Ð»á£¨AACR£©Äê»áÉÏ£¬Ðû²¼ÁËZoldonrasib£¨RMC-9805£©ÔÚKRAS G12DÍ»±ä·ÇСϸ°û·Î°©£¨NSCLC£©ÖеÄÏÔÖøÁÆÐ§¡£×÷ΪȫÇòÊ׿îÕë¶ÔKRAS G12DµÄÒÖÖÆ¼Á£¬ËüÀֳɹ¥¿ËÁ˺ã¾ÃÀ§ÈÅÁÙ´²µÄÄÑÌ⣬ÇÒ¿ª¶ËÑо¿Êý¾ÝÁîÈËÕñ·Ü£¬³ÉΪ·Î°©ÁìÓò×î¾ßÀï³Ì±®ÒâÒåµÄ½á¹û¡£
·Î°©ÔÚÎÒ¹úÖÖÖÖ°©Ö¢Öֵķ¢²¡ÂÊÒÔ¼°ËÀÍöÂÊÖоùÅÅÔÚÊ×λ¡£Æ¾¾Ý2024Äê¹ú¼Ò°©Ö¢ÖÐÐÄÐû²¼µÄͳ¼ÆÊý¾ÝÏÔʾ[1]£º2022Ä꣬ÎÒ¹ú°©Ö¢Ð·¢²¡Àý×ÜÊý´ï482.47Íò£¬ÆäÖзΰ©Ð·¢²¡ÀýÊýΪ106.06Íò£¬Ô¼Õ¼È«²¿°©Ö¢Ð·¢²¡ÀýµÄ22.0%£»·Î°©ËÀÍö²¡ÀýÊýΪ73.33Íò£¬ÔÚ2022Äê×Ü257.42Íò°©Ö¢ËÀÍö²¡ÀýÖÐÕ¼±È¸ß´ï28.5%¡£

Illustration: J Natl Cancer Cent. 2024, 4(1): page
·Î°©ËØÓÐ ¡°°©Ö¢Ö®Íõ¡± µÄ³ÆÎ½£¬ÆäÖÎÁÆÕ½ÂÔÒ»Ö±ÊÇҽѧÑо¿ÁìÓòµÄÖØµãÓëÈȵ㡣½ÓÏÂÀ´£¬ÎÒÃǽ«ÉîÈë̽Ѱ·Î°©µÄÃØÃÜ£¬Á˽âËüµÄÀàÐÍÓë·ÖÆÚ¡¢Ò©ÎïÖÎÁÆÊֶΣ¬ÒÔ¼°Ôڷΰ©Ñо¿Öз¢»Ó×ÅÒªº¦×÷ÓõÄ×Ô·¢Ö×ÁöСÊóÄ£Ð͵È֪ʶ¡£
1. ·Î°©µÄÀàÐÍÓë·ÖÆÚ
1.1 ·Î°©µÄÀàÐÍ
·Î°©ÔÚҽѧ·ÖÀàÉÏÖ÷Òª·ÖΪСϸ°û·Î°©£¨SCLC£©ºÍ·ÇСϸ°û·Î°©£¨NSCLC£©Á½´óÀà¡£ÆäÖзÇСϸ°û·Î°©ÊǷΰ©µÄÖ÷ÒªÀàÐÍ£¬Ô¼Õ¼·Î°©×ÜÕï¶Ï²¡ÀýµÄ80%~85%¡£[11]

Illustration: Merit Medical
·ÇСϸ°û·Î°©»¹Äܹ»½øÒ»²½Ï¸·Ö£¬º¸ÇÏÙ°©¡¢ÁÛ°©ºÍ´óϸ°û°©µÈ¶àÖÖÑÇÐÍ¡£ÔÚÕâЩÑÇÐÍÖУ¬ÏÙ°©×îΪ³£¼û£¬ÁÛ״ϸ°û°©µÄ·¢²¡±ÈÀý´ÎÖ®¡£ÔÚ·ÇСϸ°û·Î°©»¼ÕßȺÌåÖУ¬³£¼ûµÄÇý¶¯»ùÒòÍ»±ä°üÂÞEGFRÍ»±ä¡¢KRASÍ»±ä¡¢ALKÈںϡ¢ROS1Èںϡ¢HER2Í»±ä¡¢METÀ©Ôö¡¢BRAFÍ»±äµÈ¡£¶øÐ¡Ï¸°û·Î°©µÄÉú³¤£¬Í¨³£ÓëRbºÍp53»ùÒò¹¦Ð§È±Ê§ÕâÒ»Çý¶¯»ùÒòÍ»±äÃÜÇÐÏà¹Ø¡£
1.2 ·Î°©µÄ·ÖÆÚ
·Î°©·ÖÆÚ¶ÔÓÚ׼ȷÅжϷΰ©µÄ½øÕ¹Ë®Æ½ºÍÀ©É¢¹æÄ£ÖÁ¹ØÖØÒª£¬ÊÇÁÙ´²Ò½ÉúÖÆ¶¨¸öÐÔ»¯ÖÎÁÆ·½°¸ÒÔ¼°ÆÀ¹À»¼ÕßÔ¤ºóÇé¿öµÄÖØÒªÒÀ¾Ý¡£
Ŀǰ£¬TNM·ÖÆÚϵͳÔÚ¹ú¼ÊÉϱ»¹ã·ºÓ¦ÓÃÓÚ¶ñÐÔÖ×ÁöµÄ·ÖÆÚ£¬Í¬Ê±Ò²ÊÊÓÃÓڷΰ©µÄ·ÖÆÚÆÀ¹À¡£[3,4]
T£¨Ô·¢Ö×Áö£©£ºÖ÷ÒªÃèÊöÖ×ÁöµÄ¾ÞϸºÍËùÔÚλÖã¬·ÖÆÚ´ÓT1µ½T4¡£TºóµÄÊý×ÖÔ½´ó£¬½²Ã÷Ö×ÁöÌå»ýÔ½´ó»òλÖÃÔ½¿¿½üÖÐÑëÆøµÀ£¬¶ÔÖÜΧ×éÖ¯µÄÇÖϮԽÑÏÖØ¡£
N£¨ÁÜͶºÏ×ªÒÆ£©£ºÓÃÓÚ·´Ó³Ö×ÁöÊÇ·ñÒÑÀ©É¢µ½ËÄÖܵÄÁÜͶºÏ£¬·ÖÆÚ´ÓN0µ½N3¡£Êý×ÖÔ½´ó£¬Òâζ×ÅÁÜͶºÏ×ªÒÆµÄ¹æÄ£Ô½¹ã£¬»¼ÕßµÄÔ¤ºóÇé¿öÔ½²î¡£
M£¨Ô¶´¦×ªÒÆ£©£ºÓÃÓÚÅжÏÖ×ÁöÊÇ·ñÀ©É¢µ½ÉíÌåÆäËû²¿Î»£¬Èç¸Î¡¢ÄÔ¡¢¹ÇµÈ£¬·ÖÆÚ´ÓM0µ½M1¡£Ò»µ©·ºÆðÔ¶´¦×ªÒÆ£¬¼´ÎªÍíÆÚ·Î°©£¬ÖÎÁÆÄѶÈÏÔÖøÔö¼Ó¡£
ÔÚÃ÷È·»¼ÕßµÄT¡¢N¡¢M·ÖÆÚÊýÖµºó£¬ÕûºÏÕâЩÐÅÏ¢¼´¿ÉÈ·¶¨»¼ÕßµÄÕûÌå·ÖÆÚ¡£

Illustration: Lung Cancer Center
¾¡¹ÜСϸ°û·Î°©ºÍ·ÇСϸ°û·Î°©ÔÚרҵ·ÖÆÚϵͳÉÏ´æÔÚϸ΢²îÒ죬µ«×îÖÕ¶¼ÄÜÒÔ0ÆÚ¡¢IÆÚ¡¢IIÆÚ¡¢IIIÆÚ¡¢IVÆÚµÄÐÎʽÀ´ÌåÏÖ¡£»ùÓÚTNM·ÖÆÚ½á¹û£¬Ò½ÉúÄܹ»Îª»¼ÕßÖÆ¶¨Õë¶ÔÐÔµÄÖÎÁÆÕ½ÂÔ¡£ÀýÈ磬ÔçÆÚ·Î°©£¨IÆÚ£©Í¨³£Ê×Ñ¡ÊÖÊõÇгý£»ÖÐÆÚ·Î°©£¨IIÆÚ¡¢IIIÆÚ£©¿ÉÄÜÐèÒª½ÓÄÉÊÖÊõÁªºÏ·ÅÁÆ¡¢»¯ÁÆ£»¶øÍíÆÚ×ªÒÆÐԷΰ©£¨IVÆÚ£©µÄÒ»ÏßÖÎÁÆÔòÒÔϵͳ¿¹°©Ò©ÎïΪ»ù´¡¡£¾ßÌå·½°¸È¡¾öÓÚ²¡Àí·ÖÐÍ¡¢·Ö×Ó·ÖÐͺÍPD-L1״̬µÈ£¬Ö¼ÔÚ»º½â»¼ÕßÖ¢×´¡¢ÑÓÓÀÉú´æÆÚ¡£
2. ·Î°©µÄÒ©ÎïÖÎÁÆ
Ëæ×ÅҽѧµÄ²»Í£½ø²½£¬·Î°©µÄÖÎÁÆÊÖ¶ÎÈÕÒæ¸»ºñ¶àÑù¡£Èç½ñ£¬³ýÁË´«Í³µÄ·ÅÁƺͻ¯ÁÆÍ⣬°ÐÏòÖÎÁÆ¡¢ÃâÒßÖÎÁƵÈÐÂÐÍÁÆ·¨Ò²Îª·Î°©»¼Õß´øÀ´Á˸ü¶àÏ£Íû¡£[5,8]

Illustration: Lung Cancer Center
»¯ÁÆ×÷Ϊ·Î°©ÖÎÁƵĴ«Í³ÒªÁ죬Ö÷Ҫͨ¹ýϸ°û¶¾ÐÔÒ©ÎïÀ´É±ËÀ°©Ï¸°û¡£ÔÚ·ÇСϸ°û·Î°©µÄÖÎÁÆÖУ¬³£ÓõϝÁÆ·½°¸°üÂÞ²¬ÀàÒ©ÎÈç˳²¬¡¢¿¨²¬£©ÁªºÏµÚÈý´ú»¯ÁÆÒ©ÎÈ缪Î÷Ëû±õ¡¢×Ïɼ´¼µÈ£©¡£È»¶ø£¬ÕâЩ»¯ÁÆÒ©ÎïÔÚɱÉ˰©Ï¸°ûµÄͬʱ£¬¶ÔÕý³£Ï¸°ûÒ²´æÔÚÒ»¶¨µÄ¶¾¸±×÷Óá£
·Ö×Ó°ÐÏòÖÎÁÆÊǽüÄêÀ´·Î°©ÖÎÁÆÁìÓòµÄÖØ´óÍ»ÆÆ¡£¸ÃÖÎÁÆ·½Ê½Õë¶Ô°©Ï¸°ûÌØÓеķÖ×Ӱе㣬ʵÏÖ¶Ô°©Ï¸°ûµÄ¾«×¼¹¥»÷£¬Í¬Ê±¾¡¿ÉÄÜÌÔ̶ÔÕý³£Ï¸°ûµÄËðÉË¡£ÀýÈ磬ÔÚ·ÇСϸ°û·Î°©»¼ÕßÖУ¬¶ÔÓÚ´æÔÚ±íÆ¤Éú³¤Òò×ÓÊÜÌ壨EGFR£©Í»±äµÄ»¼Õߣ¬¿É½ÓÄÉEGFRÀÒ°±ËἤøÒÖÖÆ¼ÁTKI£¨Èç°ÂÏ£ÌæÄá¡¢¼ª·ÇÌæÄáµÈ£©½øÐÐÖÎÁÆ¡£ÕâЩҩÎïÄܹ»ÌØÒìÐÔµØÓë EGFR½áºÏ£¬×è¶ÏÆäÐźŴ«µ¼Í¨Â·£¬½ø¶øÒÖÖÆ°©Ï¸°ûµÄÉú³¤ºÍÔöÖ³£¬ÓÐЧÑÓ³¤»¼ÕßµÄÉú´æÆÚ¡£
ÃâÒßÖÎÁÆÔòÊÇͨ¹ý¼¤»îÈËÌå×ÔÉíµÄÃâÒßϵͳÀ´Ê¶±ðºÍɱËÀ°©Ï¸°û¡£½üÄêÀ´£¬ÃâÒß¼ì²éµãÒÖÖÆ¼Á£¨ÈçPD-1/PD-L1ÒÖÖÆ¼Á£©Ôڷΰ©ÖÎÁÆÁìÓòÈ¡µÃÁËÏÔÖø³ÉЧ¡£ÒÔÅÁ²©ÀûÖéµ¥¿¹£¨PD-1ÒÖÖÆ¼Á£©ÎªÀý£¬ËüÄܹ»Í¨¹ý×è¶ÏPD-1ÓëPD-L1µÄ½áºÏ£¬½â³ý°©Ï¸°û¶ÔÃâÒßϸ°ûµÄÒÖÖÆ×÷Óã¬Ê¹ÃâÒßϸ°ûÖØÐÂʶ±ðºÍ¹¥»÷°©Ï¸°û£¬ÎªÍíÆÚ·Î°©»¼ÕßÌṩÁËȫеÄÖÎÁÆÑ¡Ôñ¡£
3. ·Î°©Ïà¹Ø¶¯ÎïÄ£ÐͽéÉÜ
ÔÚ°©Ö¢Ñо¿¡¢¿¹°©Ò©ÎïÑз¢ÒÔ¼°ÁÙ´²Ç°ÊÔÑéÀú³ÌÖУ¬¶¯ÎïÄ£ÐͶÔÓÚÒ©ÎïÑéÖ¤·¢»Ó×Ų»ÐлòȱµÄÖØÒª×÷Óá£ËüÃÇΪÉîÈë̽¾¿·Î°©µÄ·¢Éú»úÖÆ¡¢×ªÒƼÍÂÉ£¬ÒÔ¼°É¸Ñ¡ÆÀ¹À¿¹°©Ò©ÎïµÄÁÆÐ§£¬ÌṩÁËÇ¿ÓÐÁ¦µÄʵÑéÖ§³Å¡£Õë¶Ô²îÒìµÄÁÙ´²Ñо¿Ä¿µÄ£¬ºÏÀíÑ¡ÔñºÏÊʵ͝ÎïÄ£ÐÍ£¬ÍùÍùÊǾö¶¨Ñо¿³É°ÜµÄÒªº¦ÒòËØ¡£ÏÂÃæ£¬ÎÒÃÇÀ´Á˽âһϷΰ©Ñо¿Öг£ÓõÄСÊóÄ£ÐÍ¡£
3.1 ·Î°©×Ô·¢Ö×ÁöСÊóÄ£ÐÍ
·Î°©×Ô·¢Ö×ÁöСÊóÄ£ÐÍÊǽèÖú»ùÒò¹¤³Ì¼¼Êõ£¬Ê¹Ð¡ÊóÔÚ×ÔȻ״̬ÏÂ×Ô·¢Ðγɷβ¿Ö×ÁöµÄÄ£ÐÍ¡£¸ÃÄ£ÐÍÎÞÐ軯ѧÓÕµ¼»òϸ°ûÒÆÖ²Àú³Ì£¬Í¨¹ýÄ£ÄâÌØ¶¨»ùÒòÍ»±ä»òÒì³£±í´ï£¬Äܹ»¸ß¶È»¹ÔÈËÀà·Î°©Éú³¤Àú³Ì£¬¾ß±¸½Ï¸ßµÄÉúÎïѧÏàËÆÐԺͲ¡ÀíÕæÊµÐÔ¡£
KRASÍ»±ä
KRAS»ùÒòÁ¥ÊôÓÚRAS»ùÒò¼Ò×壬Æä±àÂëµÄKRASÂѰ×ÔÚϸ°ûÐźÅͨ±¨Àú³ÌÖз¢»Ó׎¹µã×÷Óᣵ±KRAS»ùÒò·¢ÉúÍ»±äºó£¬±àÂë·¢ÉúµÄÍ»±äÐÍKRASÂѰ׻áÁ¬Ðø´¦ÓÚ¼¤»î״̬£¬´ÙʹÖ×Áöϸ°û²»ÊÜ¿ØÖƵØÁ¬ÐøÔöÖ³£¬½ø¶øÍƶ¯Ö×ÁöµÄÐγÉÓëÉú³¤¡£
ÔÚÈËÀà°©Ö¢²¡ÀýÖУ¬KRAS»ùÒòÍ»±ä¹ã·º´æÔÚ£¬Áè¼Ý20%µÄ·Î°©»¼Õߣ¨´ó¶àΪ·ÇСϸ°û·Î°©£©´æÔÚKRAS»ùÒòÍ»±äÇé¿ö¡£[12]ÆäÖУ¬97%µÄKRAS»ùÒòÍ»±ä·¢ÉúÔÚµÚ12ºÅ»òÕßµÚ13ºÅ°±»ùËá²Ð»ù£¬Ö÷ÒªÌåÏÖΪG12D¡¢G12V¡¢G12C¡¢G12A¡¢G13DÕâÎåÖÖÍ»±äÀàÐÍ¡£Ê¹Óñí´ï Cre ÖØ×éøµÄÖØ×éÏÙ²¡¶¾ÔÚСÊó·Î²¿ÓÕµ¼ KRAS G12D¡¢G12C±í´ï¿Éµ¼ÖÂСÊóÌåÄÚII ÐÍ·ÎÅÝϸ°û£¨AT2£©ÔöÖ³£¬Óë·ÎÏÙ°©µÄ·¢ÉúÃÜÇÐÏà¹Ø¡£
ogÊÓѶ¹ÙÍø×¢²áƽ̨Õë¶ÔKRASÍ»±ä¿ª·¢Á˶àÖÖ×Ô·¢Ö×ÁöСÊóÄ£ÐÍ¡£ÀûÓûùÒò±à¼¼¼Êõ¶ÔKRAS G12CºÍKRAS G12D½øÐиïУ¬²¢Í¨¹ýÓëAT2 ϸ°ûÌØÒìÐÔcre¹¤¾ßÊóÅä·±£¬Ê¹Æä×Ô·¢Ðγɷΰ©¡£
²¿ÃÅÑéÖ¤Êý¾ÝÈçÏ£º
B6-KSСÊóÄ£ÐÍ

KSСÊó14wʱ·Î°©¸ß·¢£¨×¢£ºÐþÉ«¼ýͷָʾÖ×Áöϸ°û£©
B6-KPSСÊóÄ£ÐÍ

È¡KPSСÊó12-20wСÊó16Ö»£¬¼ì²â·Î°©·¢ÉúÇé¿ö£¬¾²¡ÀíÊý¾Ýͳ¼ÆÈ«²¿Ð¡Êó×Ô·¢·Î²¿Ö×Áö
EGFRÍ»±ä
EGFRÖ²¡ÐÔ»ùÒòÍ»±äÊǵ¼Ö·ΰ©·¢ÉúµÄÖØÒªÔÒòÖ®Ò»£¬ÇÒ¸ÃÍ»±äÔÚ·ÇСϸ°û·Î°©»¼ÕßÖнÏΪ³£¼û¡£ÔÚÖйúNSCLC»¼ÕßȺÌåÖУ¬EGFRÍ»±äÂÊԼΪ30%£¬ÆäÖÐÏÙ°©»¼ÕßµÄÍ»±äÂʸߴï50%×óÓÒ[1]¡£EGFRÍ»±äÖ÷Òª°üÂÞ4ÖÖ³£¼ûÀàÐÍ£º19ºÅÍâÏÔ×Óȱʧͻ±ä£¨19del£©¡¢21ºÅÍâÏÔ×ÓµãÍ»±ä£¨L858R¡¢L861QµÈ£©¡¢18ºÅÍâÏÔ×ÓµãÍ»±ä£¨G719X£©ºÍ20ºÅÍâÏÔ×Ó²åÈëÍ»±äµÈ¡£
Õë¶ÔEGFRÃô¸ÐÍ»±ä·¢»Ó×÷ÓõÄÀÒ°±ËἤøÒÖÖÆ¼Á£¨TKI£©£¬Èç°ÂÏ£ÌæÄá¡¢¼ª·ÇÌæÄáµÈ£¬ÒѳÉΪ·ÇСϸ°û·Î°©ÁÙ´²ÖÎÁÆÖÐ×î³£Ó¦ÓõİÐÏòÖÎÁÆÒ©Îï¡£Ñо¿ÈËÔ±ÕýÔÚ̽Ë÷¿ª·¢ÐÂÐ͵ÄEGFR ÒÖÖÆ¼Á£¬ÒÔ¿Ë·þ C797S Í»±äÒýÆðµÄÄÍÒ©ÎÊÌ⣬²¢Í¨¹ý¸öÌ廯ÖÎÁÆÕ½ÂÔÀ´Ìá¸ßÖÎÁÆÐ§¹û¡£
ogÊÓѶ¹ÙÍø×¢²áƽ̨Õë¶ÔEGFRÍ»±ä¹¹½¨Á˶àÖÖ×Ô·¢Ö×ÁöСÊóÄ£ÐÍ£¬°üÂÞ20ºÅÍâÏÔ×ÓT790MµãÍ»±ä¡¢C797SÍ»±ä¼°21ºÅÍâÏÔ×ÓL858RÍ»±äСÊóÄ£ÐÍ£¬ÒÔ¼°ÍâÏÔ×Ó19ȱʧģÐÍ£¬Ñ¬È¾Cre²¡¶¾ºó¿É×Ô·¢·Î°©±íÐÍ¡£EGFR-L858RÍ»±ä³£Òý·¢³ÊÖ§Æø¹Ü·ÎÅÝÑùÌåÏÖµÄÃÖÂþÐÔÖ×Áö£»¶øEGFRÍâÏÔ×Ó19ȱʧ£¬Ôò¶àµ¼Ö¶àÔîÐÔÏÙ°©µÄ·ºÆð¡£
²¿ÃÅÑéÖ¤Êý¾ÝÈçÏ£º
B6-hEGFR-T790M-C797S-L858RСÊóÄ£ÐÍ

B6-hEGFR-T790M-C797S-L858RСÊóÔÚAAV-CreѬȾºóµÄµÚ5ÖÜ¡¢7ÖܺÍ9Öܷβ¿¾ùÒÑ×Ô·¢Ö×Áö
Trp53¡¢RbÍ»±ä
Trp53»ùÒòÊÇÒ»Àà¼«ÎªÖØÒªµÄÖ×ÁöÒÖÖÆ»ùÒò£¬Æä±àÂëµÄp53ÂѰ×ÔÚϸ°ûÖÜÆÚµ÷¿Ø¡¢DNAÐÞ¸´¡¢Ï¸°ûµòÍöµÈ¶à¸öÒªº¦ÉúÀíÀú³ÌÖз¢»Ó×ÅÒªº¦×÷Óá£È»¶ø£¬Ôڷΰ©µÈ¶àÖÖÖ×Áö¼²²¡ÖУ¬Trp53»ùÒò¾³£·¢ÉúÍ»±ä£¬Í»±äºóµÄp53ÂѰײ»½öʧȥÁËÔÓеÄÖ×ÁöÒÖÖÆ¹¦Ð§£¬ÉõÖÁ¿ÉÄÜ»ñµÃ´Ù½øÖ×Áö·¢ÉúÉú³¤µÄй¦Ð§£¬¼´¡°Ö°©¹¦Ð§¡±¡£ Rb×÷ÎªÖØÒªµÄÒÖ°©»ùÒò£¬Äܵ÷¿ØÏ¸°ûÖÜÆÚ¡£ÖÖÖÖÔÒòÖÂÆä¹¦Ð§Òì³££¬¶¼ÊÐÈÃϸ°ûÁ¬ÐøÌ«¹ýÔöÖ³£¬½ø¶øÒý·¢Ö×Áö¡£Ñо¿·¢ÏÖ£¬Ð¡Êó·ÎÖÐRbºÍP53µÄͬʱȱʧ»áµ¼Ö¸߷¢ÉúÂʵÄСϸ°û·Î°©£¨SCLC£©£¬ÇÒÕâÖÖСÊó·Î°©Ä£ÐÍÔÙÏÖÁËÈËÀàСϸ°û·Î°©µÄÖ÷ÒªÌØÕ÷¡£[13]
ogÊÓѶ¹ÙÍø×¢²áƽ̨¿ª·¢ÁËTrp53-floxºÍRb1-flox СÊóÄ£ÐÍ£¬½»Åäºó»ñµÃµÄ×Ó´úÔÚѬȾCre²¡¶¾ºó¿ÉÓÕ·¢·Î²¿Ö×Áö£¬ÎªÉîÈë̽¾¿·Î°©µÄ·¢Éú»úÖÆ¡¢¿ªÕ¹·Î°©Ò©ÎïɸѡÊÂÇéÒÔ¼°½øÐÐÏà¹ØÒ©Ð§ÆÀ¹ÀʵÑ飬ÌṩÁ˿ɿ¿¹¤¾ß¡£
3.2 ·Î°©ÒÆÖ²ÁöСÊóÄ£ÐÍ
СÊóÒÆÖ²ÁöÄ£ÐÍÊÇÑо¿·Î°©µÄÖØÒª¹¤¾ß£¬ÎªÉîÈëÁ˽â·Î°©µÄ·¢Éú»úÖÆ¡¢¿ªÕ¹Ò©Îïɸѡ¼°½øÐÐÁÆÐ§ÆÀ¹ÀÌṩÁËÓÐÁ¦Ö§³Å¡£
ÒìÖÖÒÆÖ²ÁöÄ£ÐÍ
¢Ù ÈËÔ´Ö×Áö×éÖ¯ÒìÖÖÒÆÖ²Ä£ÐÍ£¨PDX Ä£ÐÍ£©
PDX Ä£ÐÍÊǽ«»¼ÕßÊÖÊõÇгýµÄÖ×Áö×éÖ¯Ö±½ÓÒÆÖ²µ½ÃâÒßȱÏÝСÊóÌåÄÚ£¬Ê¹ÆäÔÚСÊóÌåÄÚÉú³¤ÐγÉÖ×Áö¡£¸ÃÄ£ÐÍÄܹ»½ÏºÃµØ±£Áô»¼ÕßÖ×Áö×éÖ¯µÄÔʼ²¡ÀíÌØÕ÷ºÍÒÅ´«¶àÑùÐÔ£¬Äܹ»¸ß¶ÈÄ£ÄâÈËÀà·Î°©µÄÉúÎïÑ§ÌØÐÔ¡£ÔÚÒ©Îïɸѡ·½Ã棬PDXÄ£ÐÍ¿ÉÓÃÓÚÆÀ¹ÀÐÂÐÍ¿¹°©Ò©ÎïµÄÁÆÐ§£¬Ô¤²âÒ©ÎïÔÚ»¼ÕßÌåÄڵķ´Ó³¡£ÀýÈ磬Ñо¿ÈËÔ±¿ÉÒÔ½«¶àÖÖ²îÒìÀàÐ͵ķΰ© PDXÄ£ÐÍ·Ö×飬»®·Ö¸øÓè²îÒìµÄÒ©Îï½øÐÐÖÎÁÆ£¬Í¨¹ý±ÈÁ¦¸÷×éСÊóÖ×ÁöµÄÉú³¤ÒÖÖÆÇé¿ö£¬É¸Ñ¡³ö¶ÔÌØ¶¨·Î°©ÀàÐ;ßÓÐÁ¼ºÃÁÆÐ§µÄÒ©Îï¡£
ogÊÓѶ¹ÙÍø×¢²áƽ̨ÖÂÁ¦ÓÚÍÆ¶¯Ö×Áö¾«×¼Ò½Ñ§Ñо¿ÒÔ¼°´´ÐÂÒ©Î↑·¢£¬¹¹½¨Á˰üÂÞʵÌåÁöÓëѪҺÁö¶àÖÖÀàÐ͵ÄPDX¶¯ÎïÄ£ÐÍ×ÊÔ´¿â¡£ÆäÖУ¬·Î°©Ïà¹ØµÄPDX×ÊÔ´ÁýÕÖÁË·ÇСϸ°û·Î°©ÒÔ¼°Ð¡Ï¸°û·Î°©´ÓÔçÆÚµ½ÍíÆÚµÄ¸÷¸ö½×¶Î£¬Äܹ»³äʵÂú×ã¿í´ó¿ÆÑÐÈËÔ±µÄÑо¿ÐèÇó¡£
| ·ÖÐÍ | ±àºÅ | ·ÖÆÚ |
| ÁÛ°© | LC00256 | ¢ñA3£¨pT1 cN0 cM0£© |
| LC00802 | pT2N0M0 | |
| LC00811 | pT2N0M0 | |
| LC00813 | T1cN0M0 | |
| LC00816 | T2N0M0 | |
| LC00873 | IB£¨ypT2N0M0£© | |
| LC00904 | I | |
| LC00909 | IIIA£¨T4N0M0£© | |
| LC00915 | IB£¨pT2aN0M0£© | |
| LC00815 | ¢óB£¨pT3N2M0£© | |
| ÏÙ°© | LC00143 | ¢òA£¨T2b N0 cM0£© |
| LC00780 | ¢ñA3£¨T1bN0M0£© | |
| LC00784 | ¢óA£¨pT3N1M0£© | |
| LC00785 | ¢ñA2£¨pT1bN0M0£© | |
| LC00800 | ¢òB£¨pT1cN1M0£© | |
| LC00805 | ¢ñA1£¨pT1aN0M0£© | |
| LC00853 | IB£¨pT2aN0M0£© | |
| LC00855 | IA2£¨T1bNOMO£© | |
| LC00858 | IB£¨pT1bN1M0£© | |
| LC00863 | IA3£¨pT1cNOMO£© | |
| LC00869 | IB£¨pT2NOMO£© | |
| LC00886 | IIB£¨pT2aN1MO£© | |
| LC00889 | IA3£¨pT1cN0M0£© | |
| LC00893 | IA2£¨pT1bNOMO£© | |
| LC00901 | IIIB£¨pT3N2bM0£© | |
| LC00916 | IB£¨pT2aN0M0£© | |
| LC00818 | ¢ñB£¨pT2aN0M0£© | |
| LC00862 | IA3£¨pT1cNOMO£© | |
| Сϸ°û°© | LC00791 | limited-stage |
| LC00801 | ¢óA£¨pT2aN2M0£© | |
| LC00842 | ¢òB£¨T2aN1M0£© | |
| LC00861 | IB£¨pT2aN0M0£© | |
| LC00872 | IIIA£¨T1bN2bM0£© | |
| LC00824 | pT1cN0M0 | |
| °©ÈâÁö | LC00846 | IIIA£¨pT4N0M0£© |
| ÏÙÁÛ°© | LC00910 | IA3£¨pT1cN0M0£© |
¢Ú ϸ°ûϵÀ´Ô´µÄÒìÖÖÒÆÖ²ÁöÄ£ÐÍ£¨CDX Ä£ÐÍ£©
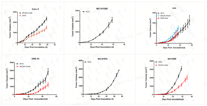
CDX Ä£ÐÍÊǽ«ÈËÀà·Î°©Ï¸°ûϵ½ÓÖÖµ½Ð¡ÊóÌåÄÚ£¬Ê¹ÆäÉú³¤ÐγÉÖ×Áö¡£ÕâÖÖÒªÁì²Ù×÷Ïà¶Ô¼òÆÓ£¬³É±¾½ÏµÍ£¬ÇÒϸ°ûϵÀ´Ô´Îȶ¨£¬ÊʺϽøÐдó¹æÄ£µÄÒ©ÎïɸѡºÍ»úÖÆÑо¿ÊÂÇé¡£ÀýÈ磬A549ϸ°ûϵÊÇÒ»ÖÖ³£ÓõķÇСϸ°û·Î°©Ï¸°ûϵ£¬Ñо¿ÈËÔ±¿É½«A549ϸ°û½ÓÖÖµ½Ð¡ÊóƤÏ£¬´ýÖ×ÁöÐγɺ󣬸øÓè²îÒìµÄÒ©Îï´¦Öóͷ££¬ÊÓ²ìÒ©Îï¶ÔÖ×ÁöÉú³¤µÄÓ°Ï죬´Ó¶øÆÀ¹ÀÒ©ÎïµÄ¿¹Ö×Áö»îÐÔ¡£
ogÊÓѶ¹ÙÍø×¢²áƽ̨Õë¶ÔÖ×ÁöҽѧÑо¿ºÍÒ©Î↑·¢µÄʵ¼ÊÐèÇ󣬹¹½¨ÁËÍêÉÆµÄÈËÔ´Ö×Áöϸ°û×ÊԴƽ̨¡£ÆäÖУ¬·Î°©Ïà¹ØµÄCDXϸ°ûϵ×ÊÔ´º¸ÇÁËÒ°ÉúÐÍϸ°ûϵ¡¢Ó«¹âϸ°ûϵ¡¢ÄÍҩϸ°ûϵµÈ£¬Äܹ»Áé»îÂú×ãÐÐÒµ¶àÑù»¯µÄÑо¿ÐèÇó¡£
| ²úÎï±àºÅ | ²úÎïÃû³Æ | ²úÎïÀà±ð | ϸ°ûÀ´Ô´ | ³ÉÁöÊý¾Ý |
| C000021 | A549 | Ò°ÉúÐÍϸ°ûϵ | ÈËÔ´ | ÓÐ |
| C000022 | Calu-3 | Ò°ÉúÐÍϸ°ûϵ | ÈËÔ´ | ÓÐ |
| C000023 | DMS 53 | Ò°ÉúÐÍϸ°ûϵ | ÈËÔ´ | ÓÐ |
| C000024 | HCC827 | Ò°ÉúÐÍϸ°ûϵ | ÈËÔ´ | ÓÐ |
| C000025 | NCI-H1666 | Ò°ÉúÐÍϸ°ûϵ | ÈËÔ´ | ÎÞ |
| C000026 | NCI-H1703 | Ò°ÉúÐÍϸ°ûϵ | ÈËÔ´ | ÓÐ |
| C000027 | NCI-H1755 | Ò°ÉúÐÍϸ°ûϵ | ÈËÔ´ | ÎÞ |
| C000028 | NCI-H1975 | Ò°ÉúÐÍϸ°ûϵ | ÈËÔ´ | ÓÐ |
| C000029 | NCI-H2122 | Ò°ÉúÐÍϸ°ûϵ | ÈËÔ´ | ÓÐ |
| C000030 | NCI-H226 | Ò°ÉúÐÍϸ°ûϵ | ÈËÔ´ | ÓÐ |
| C000031 | NCI-H292 | Ò°ÉúÐÍϸ°ûϵ | ÈËÔ´ | ÓÐ |
| C000032 | NCI-H358 | Ò°ÉúÐÍϸ°ûϵ | ÈËÔ´ | ÓÐ |
| C000033 | NCI-H446 | Ò°ÉúÐÍϸ°ûϵ | ÈËÔ´ | ÓÐ |
| C000034 | NCI-H460 | Ò°ÉúÐÍϸ°ûϵ | ÈËÔ´ | ÓÐ |
| C000035 | NCI-H526 | Ò°ÉúÐÍϸ°ûϵ | ÈËÔ´ | ÓÐ |
| C000036 | NCI-H727 | Ò°ÉúÐÍϸ°ûϵ | ÈËÔ´ | ÎÞ |
| C000037 | NCI-H82 | Ò°ÉúÐÍϸ°ûϵ | ÈËÔ´ | ÓÐ |
| C000038 | NCI-H441 | Ò°ÉúÐÍϸ°ûϵ | ÈËÔ´ | ÓÐ |
| C000039 | NCI-H69 | Ò°ÉúÐÍϸ°ûϵ | ÈËÔ´ | ÓÐ |
| C000040 | NCI-H1650 | Ò°ÉúÐÍϸ°ûϵ | ÈËÔ´ | ÓÐ |
| C000041 | SHP-77 | Ò°ÉúÐÍϸ°ûϵ | ÈËÔ´ | ÓÐ |
| C000042 | NCI-H1299 | Ò°ÉúÐÍϸ°ûϵ | ÈËÔ´ | ÓÐ |
| C000043 | PC-9 | Ò°ÉúÐÍϸ°ûϵ | ÈËÔ´ | ÓÐ |
| C000044 | NCl-H520 | Ò°ÉúÐÍϸ°ûϵ | ÈËÔ´ | ÎÞ |
| C000045 | NCI-H2228[H2228;H-2228] | Ò°ÉúÐÍϸ°ûϵ | ÈËÔ´ | ÓÐ |
| C000046 | SK-MES-1 | Ò°ÉúÐÍϸ°ûϵ | ÈËÔ´ | ÎÞ |
| C000047 | NCI-H838 | Ò°ÉúÐÍϸ°ûϵ | ÈËÔ´ | ÎÞ |
| C000048 | NCI-H1568 [H1568] | Ò°ÉúÐÍϸ°ûϵ | ÈËÔ´ | ÓÐ |
| C000049 | NCI-H209 [H209] | Ò°ÉúÐÍϸ°ûϵ | ÈËÔ´ | ÓÐ |
| C000050 | EBC-1 | Ò°ÉúÐÍϸ°ûϵ | ÈËÔ´ | ÓÐ |
| C000147 | Calu-6 | Ò°ÉúÐÍϸ°ûϵ | ÈËÔ´ | ÓÐ |
| C000188 | NCI-H2170 | Ò°ÉúÐÍϸ°ûϵ | ÈËÔ´ | ÓÐ |
| C000189 | NCI-H1975 | Ò°ÉúÐÍϸ°ûϵ | ÈËÔ´ | ÓÐ |
| C000200 | DV-90 | Ò°ÉúÐÍϸ°ûϵ | ÈËÔ´ | ÓÐ |
| C000209 | SW900 | Ò°ÉúÐÍϸ°ûϵ | ÈËÔ´ | ÎÞ |
| C000215 | NCI-H1944 | Ò°ÉúÐÍϸ°ûϵ | ÈËÔ´ | ÎÞ |
| C000216 | HCC-44 | Ò°ÉúÐÍϸ°ûϵ | ÈËÔ´ | ÎÞ |
| C000217 | NCI-H2073 | Ò°ÉúÐÍϸ°ûϵ | ÈËÔ´ | ÎÞ |
| C300020 | A549-Luc | Ó«¹âϸ°ûϵ | ÈËÔ´ | ÓÐ |
| C300021 | NCI-H82-Luc | Ó«¹âϸ°ûϵ | ÈËÔ´ | ÓÐ |
| C300057 | NCI-H2122-Luc-EGFP | Ó«¹âϸ°ûϵ | ÈËÔ´ | ÓÐ |
| C300058 | NCI-H1975-Luc-EGFP | Ó«¹âϸ°ûϵ | ÈËÔ´ | ÓÐ |
| C300059 | PC-9-Luc-EGFP | Ó«¹âϸ°ûϵ | ÈËÔ´ | ÓÐ |
| C400003 | NCI-H1975£¨L858R/T790M+C797S£©-OSI-R | ÄÍҩϸ°ûϵ | ÈËÔ´ | ÎÞ |
| C400004 | NCI-H1975-OSI-R | ÄÍҩϸ°ûϵ | ÈËÔ´ | ÎÞ |
²¿ÃÅCDXϸ°ûϵ³ÉÁöÊý¾ÝÈçÏ£º

Í¬ÏµÒÆÖ²ÁöÄ£ÐÍ
Í¬ÏµÒÆÖ²ÁöÄ£ÐÍÊǽ«Í¬Ò»Æ·ÏµÀ´Ô´µÄÖ×Áöϸ°ûÖ²ÈëÏàͬÒÅ´«Åä¾°µÄÃâÒß½¡È«Ð¡ÊóÌåÄÚ¹¹½¨µÄÄ£ÐÍ¡£¸ÃÄ£Ð͵ÄÓÅÊÆÔÚÓÚÍêÕû±£ÁôÁËËÞÖ÷ÃâÒßϵͳ£¬Äܹ»Ä£ÄâÖ×ÁöÓëÃâÒßϵͳµÄÏ໥×÷ÓÃÀú³Ì£¬ÊÊÓÃÓÚÃâÒßÖÎÁÆÒ©ÎïµÄÑо¿ºÍÖ×ÁöÃâÒß΢Çé¿öµÄ̽Ë÷¡£´ËÍ⣬ͬϵģÐÍÓÉÓÚÒÅ´«Åä¾°Ò»Ö£¬ÊµÑé½á¹ûµÄ¿ÉÖØ¸´ÐÔÁ¼ºÃ£¬Í¬Ê±³Éµ×ϸ¶Ô½ÏµÍ£¬ÊʺϿªÕ¹¸ßͨÁ¿Ò©Îïɸѡ£¬ÊǷΰ©Ñо¿Öв»ÐлòȱµÄÖØÒª¹¤¾ß£¬Îª½Òʾ·Î°©·¢ÉúÉú³¤»úÖÆºÍ¿ª·¢ÐÂÁÆ·¨ÌṩÁËÖØÒªÖ§³Ö¡£
¢ÙÍ¬ÏµÒÆÖ²ÁöÒÆÖ²Îï×ÊÔ´
ogÊÓѶ¹ÙÍø×¢²áƽ̨×÷ΪÖ×ÁöÑо¿ÁìÓòµÄרҵÏàÖúͬ°é£¬ÖÂÁ¦ÓÚ¹¹½¨È«ÇòÁìÏȵÄÊóÔ´Ö×Áöϸ°û×ÊԴƽ̨£¬ÆäÖк¸ÇÁËÒ°ÉúÐÍϸ°ûϵ¡¢ÈËÔ´»¯Ï¸°ûϵ¡¢Ó«¹âϸ°ûϵµÈ·Î°©Ï¸°ûϵ×ÊÔ´£¬ÎªÐÐÒµÌṩ¸ßÖÊÁ¿µÄ·Î°©Ñо¿Ò»Õ¾Ê½·þÎñ¡£
| ²úÎï±àºÅ | ²úÎïÃû³Æ | ²úÎïÀà±ð | ϸ°ûÀ´Ô´ | ³ÉÁöÊý¾Ý | ³ÉÁöËÞÖ÷СÊó | ϸ°û»ùÒòÐÞÊÎÀàÐÍ |
| C100016 | LLC1 | Ò°ÉúÐÍϸ°ûϵ | ÊóÔ´ | ÓÐ | B6 | / |
| C100017 | KLN 205 | Ò°ÉúÐÍϸ°ûϵ | ÊóÔ´ | ÎÞ | / | / |
| C200096 | LLC-1-hSiglec15 | ÈËÔ´»¯Ï¸°ûϵ | ÊóÔ´ | ÓÐ | B6-hSiglec15 | hSiglec15 (Tg)-mSiglec15(KO) |
| C200141 | LLC-1-hPDL1 | ÈËÔ´»¯Ï¸°ûϵ | ÊóÔ´ | ÓÐ | B6 | hPDL1(Tg)-mPDL1(KO) |
| C200157 | LLC-1-hCD38 | ÈËÔ´»¯Ï¸°ûϵ | ÊóÔ´ | ÎÞ | / | hCD38£¨KI£©-mCD38£¨KO£© |
| C300043 | LLC1-Luc | Ó«¹âϸ°ûϵ | ÊóÔ´ | ÓÐ | B6 | / |
Í¬ÏµÒÆÖ²ÁöËÞÖ÷×ÊÔ´£º·Î°©Ò©Îï°ÐµãÈËÔ´»¯Ð¡ÊóÄ£ÐÍ
ͨÀýÃâÒß½¡È«Ð¡ÊóÒò°ÐµãÂѰ׽ṹ£¨ÈçPD-1/PD-L1¡¢CD3µÈ£©ÓëÈËÀà´æÔÚÏÔÖø²îÒ죬µ¼ÖÂÕë¶ÔÈËÔ´°ÐµãÉè¼ÆµÄ·Î°©°ÐÏòÒ©ÎÈçµ¥¿¹¡¢Ë«¿¹£©ÎÞ·¨Ê¶±ð»ò½áºÏСÊó°Ðµã£¬´Ó¶øÎÞ·¨½øÐÐÁÙ´²Ç°Ò©Ð§ÆÀ¹À¡£Í¨¹ý»ùÒò±à¼¼¼Êõ½«Ð¡Êó°ÐµãÌæ»»ÎªÈËÔ´»ùÒò£¬¿É¾«È·Ä£ÄâÒ©ÎïÓë°ÐµãµÄÏ໥×÷ÓÃÀú³Ì£¬ÓÐЧ½â¾ö¡°ÈËÊó²»¼æÈÝ¡±ÎÊÌâ¡£ÕâЩģÐÍ¿ÉÓÃÓÚÑо¿·Î°©°ÐÏòÒ©ÎïÔÚÌåÄÚµÄÒ©´ú¶¯Á¦Ñ§¡¢Ò©Ð§¶¯Á¦Ñ§ÒÔ¼°ÃâÒßÏà¹Ø²»Á¼·´Ó³µÈ·½Ã棬ΪҩÎïÁÙ´²Ç°Ñо¿Ìá¹©ÖØÒª¹¤¾ß¡£
ogÊÓѶ¹ÙÍø×¢²áƽ̨²¿Ãŷΰ©Ò©Îï°ÐµãÈËÔ´»¯Ä£ÐͿɲο¼ÏÂ±í£º
| °Ðµã | ²úÎï±àºÅ | ²úÎïÃû³Æ | ״̬ |
| HER2 | T064739 | BALB/c-hCD3EDG/hHER2 | ÅßÌ¥¶³´æ |
| T057039 | BALB/c-hHER2-Tg | »îÌå | |
| T009819 | BALB/c-hHER2 | »îÌå | |
| EGFR | T064737 | BALB/c-hCD3EDG/hEGFR | »îÌå |
| T056764 | BALB/c-hEGFR-T790M | ÅßÌ¥¶³´æ | |
| T009817 | BALB/c-hEGFR | »îÌå | |
| T007732 | B6-hEGFR(Exon19 del) | ÅßÌ¥¶³´æ | |
| PD1 | T064918 | BALB/c-hPD1/hSIRPa-V2 | »îÌå |
| T003095 | B6-hPD1 | »îÌå | |
| T002726 | BALB/c-hPD1 | »îÌå | |
| PD1£¬PD-L1 | T059704 | BALB/c-hPD1/hPDL1/hTIGIT/hPVRIG-V2 | »îÌå |
| T054841 | BALB/c-hPD1/PDL1/hTIGIT/hCD226 | »îÌå | |
| T050195 | BALB/c-hPD1/hPDL1/hCD47/hSIRPA | »îÌå | |
| T037004 | BALB/c-hPD1/hPDL1/hTIGIT | »îÌå | |
| T036974 | BALB/c-hPD1/hPDL1/hCD39 | »îÌå | |
| T036652 | BALB/c-hPD1/hPDL1/hCD73 | »îÌå | |
| T004025 | BALB/c-hPD1/hPDL1 | »îÌå | |
| T004022 | B6-hPD1/hPDL1 | »îÌå | |
| PD-L1 | T003455 | B6-hPDL1 | »îÌå |
| T003260 | BALB/c-hPDL1 | ÅßÌ¥¶³´æ | |
| PD1£¬CTLA4 | T003826 | B6-hPD1/hCTLA4 | »îÌå |
| T003720 | BALB/c-hPD1/hCTLA4 | »îÌå | |
| CTLA4 | T055241 | BALB/c-hTIGIT/hCTLA4 | ÅßÌ¥¶³´æ |
| T003362 | B6-hCTLA4 | ÅßÌ¥¶³´æ | |
| T003361 | BALB/c-hCTLA4 | ÅßÌ¥¶³´æ | |
| VEGFA | T036939 | B6-Rho-hVEGFA-Tg | »îÌå |
| T017803 | BALB/c-hVEGFA | ÅßÌ¥¶³´æ | |
| FLT3 | T054196 | BALB/c-hFLT3 | ÅßÌ¥¶³´æ |
| DLL3 | T069568 | B6-hDLL3 | Ñз¢ÖÐ |
| T069567 | BALB/c-hCD3EDG/hDLL3 | Ñз¢ÖÐ | |
| T069569 | B6-hCD3EDG/hDLL3 | Ñз¢ÖÐ |
ÎÄÖÐÌá¼°µÄ×éÖ¯/ϸ°û×ÊÔ´½öÓÃÓÚogÊÓѶ¹ÙÍø×¢²áƽ̨Ïà¹Ø·þÎñÏîÄ¿£¬²»¹â¶À³öÊÛ£»ÈôÓлñÈ¡¾ßÌå²úÎïÊý¾ÝµÄÐèÇ󣬽Ӵý·¢ËÍÓʼþÖÁmarketing@×Éѯ£¡
²Î¿¼×ÊÁÏ
[1]Han, B., Zheng, R., Zeng, H., Wang, S., Sun, K., Chen, R., Li, L., Wei, W., & He, J. (2024). Cancer incidence and mortality in China, 2022. Journal of the National Cancer Center, 4(1), 47¨C53. https://doi.org/10.1016/j.jncc.2024.01.006
[2]https://www.cancer.org/cancer/types/lung-cancer/about/what-is.html
[3]https://www.lung.org/lung-health-diseases/lung-disease-lookup/lung-cancer/symptoms-diagnosis/lung-cancer-staging
[4]https://www.lungcancercenter.com/lung-cancer/stages/
[5]https://www.cancer.org/cancer/types/lung-cancer/treating-non-small-cell/targeted-therapies.html
[6]Kwon, M., & Berns, A. (2013). Mouse models for Lung Cancer. Molecular Oncology, 7(2), 165¨C177. https://doi.org/10.1016/j.molonc.2013.02.010
[7]Meuwissen, R., & Berns, A. (2005). Mouse models for human lung cancer. Genes & Development, 19(6), 643¨C664. https://doi.org/10.1101/gad.1284505
[8]https://www.lungcancercenter.com/treatment/
[9]Morgan, K. M., Riedlinger, G. M., Rosenfeld, J., Ganesan, S., & Pine, S. R. (2017). Patient-derived xenograft models of non-small cell lung cancer and their potential utility in personalized medicine. Frontiers in Oncology, 7. https://doi.org/10.3389/fonc.2017.00002
[10]Lallo, A., Schenk, M. W., Frese, K. K., Blackhall, F., & Dive, C. (2017). Circulating tumor cells and CDX models as a tool for preclinical drug development. Translational Lung Cancer Research, 6(4), 397¨C408. https://doi.org/10.21037/tlcr.2017.08.01
[11]https://www.merit.com/recognizing-lung-cancer-awareness-month/
[12]Karachaliou, N., Mayo, C., Costa, C., Magr¨ª, I., Gimenez-Capitan, A., Molina-Vila, M. A., & Rosell, R. (2013b). KRAS mutations in lung cancer. Clinical Lung Cancer, 14(3), 205¨C214. https://doi.org/10.1016/j.cllc.2012.09.007
[13]Meuwissen, R., Linn, S. C., Linnoila, R. I., Zevenhoven, J., Mooi, W. J., & Berns, A. (2003). Induction of small cell lung cancer by somatic inactivation of both trp53 and RB1 in a conditional mouse model. Cancer Cell, 4(3), 181¨C189. https://doi.org/10.1016/s1535-6108(03)00220-4
