Ö×ÁöÃâÒßÖÎÁÆ¡°ÉñÖú¹¥¡±£¡NCG-MHC-dKOСÊóµÄTCEҩЧʵսÈÕ¼Ç
ÔÚÖ×ÁöÃâÒßÖÎÁÆÁìÓò£¬Tϸ°ûÏÎ½ÓÆ÷£¨T Cell Engager, TCE£©Ë«¿¹Ò©ÎïÒÔÆäÆæÌØµÄ¡°Ë«°ÐµãÇŽӡ±×÷ÓûúÖÆ£¬ÕýÖØËÜʵÌåÁöÖÎÁÆ»¨Ñù¡£ÕâÀàÒ©Îï¿Éͬʱͨ¹ý°ÐÏòÖ×Áö¿¹ÔºÍTϸ°ûÍâòCD3·Ö×Ó£¬½«Tϸ°û=ÖÁÖ×Áö΢Çé¿ö£¬Í»ÆÆ´«Í³ÃâÒßÁÆ·¨¶ÔÖ×Áö½þÈóÁܰÍϸ°ûÊýÁ¿µÄÏÞÖÆ¡£È»¶ø£¬ÁÙ´²Ç°Ñо¿Ê¼ÖÕÃæÁÙÒ»´óÌôÕ½£ºÈçºÎÔÚ¶¯ÎïÄ£ÐÍÖÐÕæÊµÄ£ÄâÈËÀàTϸ°ûÓëÖ×Áöϸ°ûµÄÏ໥×÷Óã¿ogÊÓѶ¹ÙÍø×¢²áƽ̨¹¹½¨µÄÈËÔ´»¯NCG-MHC-dKOСÊóÄ£ÐÍ£¬ÕýÊÇÆÆ½âÕâÒ»ÄÑÌâµÄ¡°½ðÔ¿³×¡±¡£
´«Í³PBMCÈËÔ´»¯Ä£Ðͳ£ÃæÁÙËÞÖ÷ÃâÒßÅųâµÄ×ÌÈÅ¡ª¡ªµ±ÊóÔ´MHC·Ö×ÓÓëÈËÔ´Tϸ°ûÏàÓö£¬»á´¥·¢ÒìÌå·´Ó³ÐÔTϸ°ûµÄÒì³£¼¤»î£¬µ¼ÖÂÒÆÖ²ÎËÞÖ÷²¡£¨GvHD£©Ìáǰ·¢Éú£¬´Ó¶ø½µµÍÌåÄÚҩЧÑо¿´°¿ÚÆÚ¡£Îª¹¥¿ËÕâÒ»ÎÊÌ⣬ogÊÓѶ¹ÙÍø×¢²áƽ̨ÔËÓÃCRISPR-Cas9¼¼ÊõÇóýNCGСÊóµÄMHC IºÍMHC II·Ö×Ó£¬Àֳɹ¹½¨NCG-MHC-dKOСÊ󡣸ÃÄ£ÐÍ¿ÉÏÔÖøÑÓ»ºGvHD·´Ó³£¬ÑÓ³¤ÊµÑé´°¿ÚÆÚ£¬Í¬Ê±È·±£ÈËÔ´ÃâÒßϸ°ûÕý³£Öؽ¨£¬±£ÕÏ¿¹Ìå·Ö×ÓÆÀ¼ÛµÄ׼ȷÐÔ¡£
´Ëǰ£¬ogÊÓѶ¹ÙÍø×¢²áƽ̨ÒÑÏêϸ½â¶Á¹ýNCG-MHC-dKOÄ£Ð͵ÄÌØÐÔÓëÓÅÊÆ£¨µã»÷Ï·½Á´½ÓÔĶÁÈ«ÎÄ£©¡£±¾ÎĽ«Öصã·ÖÏí¸ÃÄ£ÐÍÔÚTCEҩЧÆÀ¼ÛÖеĵäÐͰ¸Àý¡£
¡¶¡°¿ì£¡ºÃ£¡Ê¡£¡¡±ÃâÒßÖØ½¨Ð¡ÊóÄãÈÌÐÄ´í¹ýÂ¡·
¡¶·ºÆðGvHDÔõô°ì£¿Ð¡Êó²¡âûâû£¿NCG-MHC-dKO°ïÄúÅÅÓǽâÄÑ¡·
°¸ÀýÒ»£ºTarlatamabË«¿¹ÔÚСϸ°û·Î°©Ä£ÐÍÖеÄҩЧѧÆÀ¼Û
ogÊÓѶ¹ÙÍø×¢²áƽ̨ÀûÓÃNCG-MHC-dKOСÊóÄ£ÐÍ£¬Í¨¹ýƤϽÓÖÖSHP-77ϸ°û²¢Í¬Ê±¸¹Ç»×¢ÉäÈËÔ´PBMC£¬¶ÔCD3¡ÁDLL3Ë«¿¹TarlatamabµÄҩЧѧ½øÐÐÆÀ¼Û¡£ÊµÑé½á¹ûÏÔʾ£¬Ïà±È¶ÔÕÕ×飬ÔÚ¸øÒ©ºó7Ìì×óÓÒ¸øÒ©×é¾ÍʵÏÖ100%СÊóÖ×ÁöÍêÈ«ÏûÍË¡£Õâ½²Ã÷TarlatamabÔÚhuPBMC-NCG-MHC-dKO + SHP77Ä£ÐÍÖÐÄܹ»ÓÐЧÒÖÖÆÖ×ÁöÉú³¤£¨Í¼1£©¡£

ͼ1. »ùÓÚhuPBMC-NCG-MHC-dKOСÊóƤϽÓÖÖSHP77Ä£Ð͵ÄTCEÌåÄÚҩЧÆÀ¼Û
°¸Àý¶þ£ºMosunetuzumabÔÚÈËÌ×ϸ°ûÁܰÍÁöÄ£ÐÍÖеÄҩЧѧÑо¿
ogÊÓѶ¹ÙÍø×¢²áƽ̨ÀûÓÃNCG-MHC-dKOСÊóÄ£ÐÍ£¬Í¨¹ý½«ÈËÌ×ϸ°ûÁܰÍÁöϸ°ûJeKo-1ƤÏÂÖ²ÈëСÊóÌåÄÚ£¬Í¬²½½øÐÐÈËÔ´PBMC¸¹Ç»×¢É䣬¶ÔCD20/CD3Ë«ÌØÒìÐÔ¿¹ÌåMosunetuzumabµÄҩЧչ¿ªÏ¸ÖÂ̽¾¿¡£½á¹ûÏÔʾ£¬Ïà±È¶ÔÕÕ×飬ÔÚ¸øÒ©ºó10Ìì×óÓÒ¸øÒ©×é¾ÍʵÏÖ100%СÊóÖ×ÁöÍêÈ«ÏûÍË¡£½²Ã÷MosunetuzumabÔÚhuPBMC-NCG-MHC-dKO + JeKo-1Ä£ÐÍÖп¹Ö×ÁöЧ¹ûÏÔÖø£¨Í¼ 2£©¡£

ͼ2. »ùÓÚhuPBMC-NCG-MHC-dKOСÊóƤϽÓÖÖJeKo-1Ä£Ð͵ÄTCEÌåÄÚҩЧÆÀ¼Û
°¸ÀýÈý£ºTCEÔÚÈËÔλÒÈÏÙ°©Ä£ÐÍÖеÄҩЧѧÑо¿
ogÊÓѶ¹ÙÍø×¢²áƽ̨ÀûÓÃNCG-MHC-dKOСÊóÄ£ÐÍ£¬Í¨¹ý¸¹Ç»×¢Éä²îÒìµÄÈËÔ´PBMC£¬3ÌìºóƤϽÓÖÖÈËÔλÒÈÏÙÏÙ°©Ï¸°ûBxPC-3£¬ÓÃÓÚTCEҩЧѧÆÀ¼Û¡£ÊµÑé֤ʵ£¬TCEË«¿¹ÔÚhuPBMC-NCG-MHC-dKO + BxPC-3Ä£ÐÍÖпÉÏÔÖøÒÖÖÆÖ×ÁöÉú³¤£¨Í¼ 3£©¡£

ͼ3. »ùÓÚhuPBMC-NCG-MHC-dKOСÊóƤϽÓÖÖ BxPC-3Ä£Ð͵ÄTCEÌåÄÚҩЧÆÀ¼Û
°¸ÀýËÄ£ºTalquetamabÔÚÈ˶෢ÐÔ¹ÇËèÁöÄ£ÐÍÖеÄҩЧѧÑо¿
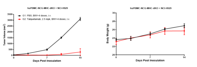
ͨ¹ýβ¾²Âö½«ÈËÔ´PBMC×¢Éäµ½NCG-MHC-dKOСÊóÖУ¬7Ììºóͨ¹ýƤϽÓÖÖ¶à·¢ÐÔ¹ÇËèÁöNCI-H929ϸ°û£¬¶ÔCD3¡ÁGPRC5DË«¿¹Talquetamab½øÐÐҩЧÆÀ¹À¡£½á¹û½²Ã÷£¬TalquetamabÔÚhuPBMC-NCG-MHC-dKO + NCI-H929Ä£ÐÍÖп¹Ö×Áö×÷ÓÃÏÔÖø£¨Í¼ 4£©¡£

ͼ4. »ùÓÚhuPBMC-NCG-MHC-dKOСÊóƤϽÓÖÖNCI-H929Ä£Ð͵ÄTCEÌåÄÚҩЧÆÀ¼Û
ÈËÔ´»¯NCG-MHC-dKOСÊóÄ£ÐÍÓÅÊÆ
1. ¿ÉÏÔÖø¼õ»ºGvHDµÄ·¢Éú£¬ÑÓ³¤ÊµÑé´°¿ÚÆÚ£¬ÓÐÀûÓÚÖÖÖÖ°ÐÏòTϸ°ûÁÆ·¨µÄÒ©ÀíҩЧÆÀ¼Û£»
2. ogÊÓѶ¹ÙÍø×¢²áƽ̨Õë¶Ô²îÒìÁöÖÖ£¬¶¨ÆÚÔÚNCG-MHC-dKOÄ£ÐÍÖÐɸѡÊʺÏҩЧÑо¿µÄÈËÔ´PBMC£¬¼«ºéÁ÷ƽÉÏËõ¶ÌҩЧ·þÎñÖÜÆÚ£¬¼ÓËÙҩЧÑо¿½øÕ¹¡£
×÷ΪTCEÒ©Î↑·¢µÄ¡°È«Ï¢É³ÅÌ¡±£¬ÈËÔ´»¯NCG-MHC-dKOСÊóÄ£ÐÍΪÖ×ÁöÃâÒßÖÎÁÆÕ½ÂԵĴ´ÐÂÌṩÁ˼áʵ֧³Å¡£Ëæ×ÅÑо¿µÄÉîÈ룬¸ÃÄ£Ð͵ÄDZÁ¦ÓëÁÙ´²¼ÛÖµ½«½øÒ»²½»ñµÃÍÚ¾òÓëÑéÖ¤¡£½Ó´ý×ÉѯÏàÖú¡£
